
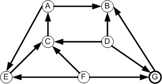
To
A B C D E F G
A 0 1 0 0 1 0 0
B 0 0 0 0 0 0 0
C 1 0 0 0 1 0 0
From D 0 1 1 0 0 0 1
E 0 0 0 0 0 0 0
F 0 0 1 0 1 0 1
G 0 1 0 0 0 0 0
Row 1 is not the same as column 1 for this directed graph. Why?