previous | start | next

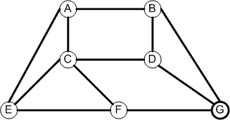
Adjacency List for an Undirected Graph

 From        To
    A: -> B,C,E
    B: -> A,D,G
    C: -> A,D,E,F
    D: -> B,C,G
    E: -> A,C,F
    F: -> C,E,G
    G: -> B,D,F

Each edge appears on 2 lists. Why?



previous | start | next