415 lecture note #6 


[Ch 3] Algorithms (4)

3.5 Complexity of Algorithms -- cont.

5. A few comments on deriving complexity

 

6. More (non-recursive) Example Algorithms

For each of the algorithm segments,

  1. General iterative algorithms
  1. 1. for i := 1 to 2n do
    2.   x := x + 1           // count this line
    • Number of times line 2 is executed:

    • The complexity is Q(n).

       

  2. 1. for i := 1 to n do
    2.   for j := 1 to n do
    3.      x := x + 1           // count this line
    • Number of times line 3 is executed:

    • The complexity is Q(n2).

       

  3. 1. for i := 1 to 2n do
    2.   for j := 1 to n do
    3.      x := x + 1           // count this line
    • Number of times line 3 is executed:






    • The complexity is ____________.

       

  4. 1. for i := 1 to n do
    2.   for j := 1 to 2n do
    3.      x := x + 1           // count this line
    • Number of times line 3 is executed:






    • The complexity is ____________.

       

  5. 1. for i := 1 to n do
    2.   for j := 1 to i do
    3.      x := x + 1           // count this line
    • Number of times line 3 is executed:

    • The complexity is Q(n2).

       

  6. (Exercise #22, p. 150)
    1. for i := 1 to n do
    2.   for j := 1 to n do
    3.     for k := 1 to i do
    4.      x := x + 1                // count this line
    • Number of times line 4 is executed:







    • The complexity is ____________.

       

  7. (Exercise #25, p. 150) -- once again
    1. i := n
    2. while i >= 1 do
    3.   begin
    4.   for j :=1 to n do
    5.     x := x + 1                // count this line
    6.   i := floor(i/2)
    7.   end
    • Number of times line 5 is executed










    • The complexity is ____________.

       

  8. (Example 3.5.14, p. 147)

    1. j := n
    2. while j >= 1 do
    3.   begin
    4.   for i :=1 to j do
    5.     x := x + 1                // count this line
    6.   j := floor(j/2)
    7.   end
    • Number of times line 5 is executed











    • The complexity is ____________.
  1. Search algorithms
    1. Linear search in an unsorted (or any) sequence

      Problem: finding an element in an array of size n
      Input: key, array A = [x1, x2,…, xn], n
      Output: the index of key in A, (0 if key is not in the list)

      Program find_key( key, A, n )
      1. index := 1
      2. while index <= n
      3.   begin
      4.   if key = A[index] then   // count this comparison
      5.     return index
      6.   index := index + 1
      7.   end
      8. return 0
      end find_key
      • Complexity

        Worst-case T(n) = _____ = Q(___)
        Best-case T(n) = _____ = Q(___)
        Average-case T(n) = _____ = Q(___)
  1. Binary Search -- for sorted sequence (in ascending order)

    Example:  Search for 16

     

    • The algorithm:

    Problem: find an element in a sorted list (whose index is 0 through n-1)
    Input: key, L a list and n
    Output: The index of key in L, -1 otherwise

    procedure BinarySearch(key, L, n)
    1.  low := 0 
    2.  high := n-1
    3.  while (low <= high) do
    4.    begin
    5.    mid = floor((low + high)/2)
    6.    if (key = L[mid]) then        // count this comparison
    7.      return mid
    8.    else if (key < L[mid]) then 
    9.      high := mid - 1
    10.   else 
    11.     low := mid + 1
    12.   end
    13. return -1    // key not found (fall through)
    end BinarySearch
    • Complexity

      1. Worst -case

        The worse case occurs when key is not present is the list. How many runs through the while loop will we do? 

        • Initially, we have n element to consider. 
        • At the end of the first loop, we are down to n/2. 
        • After the second loop, we have n/4. 
        • Next, n/8, etc. 
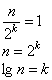
        • In general, at the end of the kth loop, we have n/2k elements left to consider.

        How far can we keep dividing (what is k?)? Again, according to the algorithm we exit the loop when low > high.  This means, in particular, that when we are down to 1 element and process it, we stop the loop.  So,

        So we get T(n) = lgn, thus Q(lgn).

         

      2. Best-case

        The best case happens when key is present at the middle of the array, namely L[n/2].   In this case, the loop executes only once, regardless of the size of array (i.e., n).  So, we get T(n) = 1, thus Q(1).

         

      3. Average-case