Scaling Principles

Examples
1. A pizza has a radius of 10". A second pizza of the same thickness has twice the area of the first pizza. What is the radius of the second pizza?
a. A logical approach. Since area is proportional to
diameter
squared, the diameter (linear dimension) must increase by the square
root
of the scaling factor.
b. A more mathematical approach.
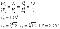
2. A cube of material 10" on a side weighs 5 lbs. What will be the height of a cube of the same material that weighs 12 lbs?
Weight is proportional to volume and volume is proportional to L3.

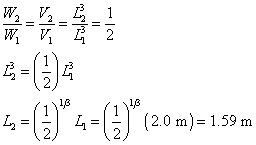
3. A brass statue in an art museum is 2.0 m high. The museum shop sells replicas of this statue that are 0.10 m high. (a) How does the weight of the replica compare to the weight of the statue? (b) What will be the height of a brass copy of the statue that weighs half as much as the original?
(a) Weight is proportional to volume and volume is proportional to
the
cube of the linear dimensions. The volume ratio is the same as the
weight
ratio:
The replica's weight is smaller than the statue's by a factor of 0.000125.
(b) In this case also, the weight ratio is the same as the volume ratio.
