1. Exponentials
2. Factorials
![]()
0! = 1
1! = 1 * 0! = 1
2! = 2 * 1! = 2 * 1 * 0! = 2
3! = 3 * 2! = 3 * 2 * 1! = 3 * 2 * 1 * 0! = 6
3.. Logarithms
x = logab ≡ ax = b.
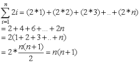
4. Summations
Summation of a sequence/series [a1, a2,.., an]
is denoted using a symbol S.







5. Quadratic equations